Boost Pattern Recognition
Chess puzzles optimized for pattern recognition

- Skim through random puzzles and hope they stick
- Slow progress
- Repeat and master patterns
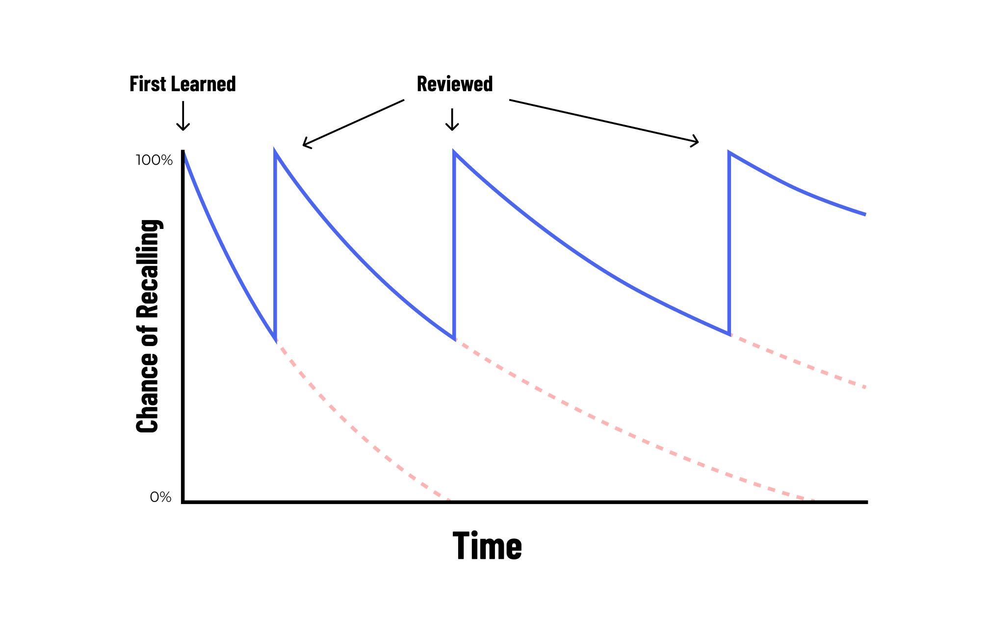
- Personalized optimisation with spaced repetition
- Rapid progress
How it works
1
Choose your current skill level.
2
Solve puzzles based on your level
3
After each puzzle, tell the algorithm how hard it was.
4
The algorithm chooses your next puzzle.